Esta es la entrada 68 del blog. Cerrará la “trilogía” de entradas relacionadas con los logaritmos, que comenzó con ¿cómo entenderlos y qué cuidados tener al trabajar con ellos? (ver aquí) y siguió con ¿cómo usar las tablas de logaritmos y algunas curiosidades más sobre el tema (ver aquí).
Hoy veremos el tema de las ecuaciones que involucran incógnitas en logaritmos y exponentes. Este tipo de ecuaciones tiene una diferencia importante con respecto a las ecuaciones lineales, cuadráticas, etcétera: pueden resolverse reorganizando la información en una igualdad totalmente nueva e independiente a la anterior, pero igualmente válida. Por eso elegí la imagen que encabeza esta entrada, que representa la reorganización de los elementos de algo para «resolverlo». Sobre las funciones exponenciales y logarítmicas escribiré posteriormente, ya que haya escrito una introducción a funciones en general.
Nuevamente agradezco a Andrés, de Colombia, por haberme sugerido este tema, que resultó muy interesante de construir. Espero que te resulte útil lo que aquí he compartido.
La siguiente semana retomaré los temas de la educación primaria, que son el enfoque principal de este blog. Agradezco de antemano sus sugerencias de temáticas a tratar.
Solución de ecuaciones en general
He escrito antes sobre ecuaciones (ver más aquí y aquí). Según el diccionario de la Real Academia de la Lengua Española, una ecuación es una igualdad que contiene una o más incógnitas.
Resolver una ecuación, por otro lado, es encontrar el valor o los valores de las incógnitas que hacen válida la igualdad. Siempre es posible comprobar una solución de una ecuación sustituyendo el valor obtenido en la igualdad inicial y comprobando que se cumple. Regularmente, las ecuaciones se resuelven usando las operaciones contrarias a las que las componen.
Veamos un ejemplo muy sencillo. La ecuación contiene una suma, por lo que una resta a ambos lados del igual permite encontrar el valor buscado:
x + 3 = 5
x + 3 – 3 = 5 – 3
x = 2
Comprobamos:
2 + 3 = 5
Se cumple la igualdad, por lo tanto la ecuación fue resuelta correctamente.
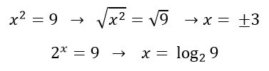
¿Cómo se resuelve una ecuación con la incógnita en el exponente?
Como vimos en la primera entrada sobre logaritmos, si bien la suma tiene como operación contraria sólo a la resta y la multiplicación tiene como operación contraria sólo a la división, la potenciación tiene como operaciones contrarias a la radicación y a la obtención del logaritmo.
Dependiendo de la posición de la incógnita es la operación contraria necesaria. Si está en la base, se usa radicación, si está en el exponente, se usa la obtención del logaritmo:

Existen al menos dos formas de entender cómo resolver la ecuación:

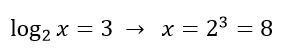
La que parece ser más común al enseñar (que es la que usé en el ejemplo anterior), es reescribir la expresión usando la equivalencia que vimos hace dos entradas:


La segunda implica obtener el logaritmo base 2 (porque la x es potencia de 2 en la ecuación) a ambos lados del igual:

Y posteriormente aplicar la siguiente propiedad de los logaritmos:

Por lo que llegamos a la misma solución:

Las dos formas son igual de válidas y fundamentadas, y llegan a la misma respuesta, por lo que pueden usar la que más sentido tenga para ustedes. Quizá la segunda se parece más al procedimiento que acostumbramos seguir para resolver cualquier tipo de ecuaciones, pues implica hacer una operación contraria a la que vemos, a ambos lados del igual. La otra forma, aunque más breve, puede llegar a confundir si no se tiene claro dónde va cada elemento.
Algunos casos de ecuaciones con incógnitas en el exponente:
La variedad de ecuaciones en las que la incógnita está en el exponente es muy amplia. Las leyes de los exponentes nos permiten simplificar las expresiones hasta llegar a alguno de los siguientes casos:
Exponente en un lado de la ecuación
Se resuelve ya sea obteniendo el logaritmo a ambos lados del igual o reescribiendo la expresión en su forma logarítmica:

Exponente a ambos lados de la ecuación, con base igual
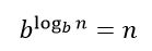
Se resuelve ya sea aplicando logaritmo a ambos lados del igual:

O usando esta igualdad:

Exponente a ambos lados de la ecuación, una base es potencia de la otra
Se igualan las bases reescribiendo una o ambas:

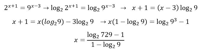
Exponente a ambos lados de la ecuación, bases diferentes
Se aplica el logaritmo de cualquiera de las bases a ambos lados del igual y se aplican las propiedades indicadas, quedando una ecuación lineal, que asusta un poco por tener números expresados en logaritmos, pero que es realmente sencilla de resolver de forma similar a como se resolvería cualquier ecuación lineal:


La mayoría de las ecuaciones más complejas que se ven a nivel bachillerato podrán, mediante leyes de los exponentes, transformarse en una que caiga en alguno de estos casos. No es práctico intentar abarcar todas las opciones iniciales aquí.
¿Cómo se resuelve una ecuación con la incógnita en el argumento del logaritmo?
Al igual que cuando la incógnita está en el exponente, este tipo de ecuaciones puede resolverse reescribiendo la expresión usando la siguiente equivalencia y calculando la potencia obtenida:
Veamos un ejemplo:
Como el logaritmo como tal sí tiene una sola operación contraria: la potenciación, resolver una ecuación con la incógnita en el argumento del logaritmo puede hacerse por medio de potenciación: se eleva una cierta base a cada lado de la igualdad y después se usa esta propiedad:


Nuevamente, el primer procedimiento es más rápido y funciona bien si tenemos mucho cuidado de poner cada elemento de la expresión inicial en el lugar correcto en la expresión final. Este segundo procedimiento es un poco más tardado, pero es más parecido a lo que estamos acostumbrados a hacer de aplicar la misma operación a ambos lados del igual, por lo que puede ser más sencillo de recordar.
Ojo: en estos casos es indispensable comprobar las respuestas, porque aunque hayamos hecho sólo operaciones que tienen toda la “pinta” de ser matemáticamente válidas, puede ser que algo por ahí no sea tan válido y hayamos introducido respuestas extrañas dentro del procedimiento.
Algunos casos de ecuaciones con incógnitas en el argumento del logaritmo:
La variedad de ecuaciones en las que la incógnita está en el argumento del logaritmo es muy amplia. Las propiedades de los logaritmos nos permiten simplificar las expresiones hasta llegar a alguno de estos casos:
Logaritmo en un lado de la ecuación
Se resuelve de alguna de las dos formas que acabamos de revisar, ya sea reescribiendo según la equivalencia o elevando la base a ambos lados de la ecuación:

Comprobamos:

Logaritmo a ambos lados de la ecuación, con la misma base
Se resuelve ya sea elevando la base a cada lado del igual:

O usando esta propiedad:


Comprobamos la respuesta:

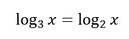
Logaritmo a ambos lados de la ecuación, con distinta base
Se necesita comenzar por un cambio de base, siguiendo la fórmula:

Por ejemplo, para:

Se pueden cambiar ambos a logaritmo base 10:

La única forma en la que esta igualdad puede cumplirse es si x=1, lo cual puede observarse si se usan las propiedades de los logaritmos así:

Resolver ecuaciones logarítmicas con distinta base con expresiones más complicadas (x en el argumento de los distintos logaritmos) es un proceso complejo que queda fuera del alcance de este blog.
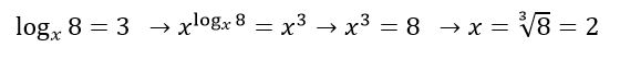
¿Cómo se resuelve una ecuación con la incógnita en la base del logaritmo?
La posición de la x en una ecuación, que nos falta revisar, es la base del logaritmo. Para resolver una ecuación así, nuevamente podemos reescribir la expresión y posteriormente resolver la ecuación resultante:

O elevar x a cada lado de la ecuación:

Al igual que con las ecuaciones que involucran exponentes, la variedad de formas iniciales de una ecuación que involucra logaritmos es muy amplia. Las propiedades de los logaritmos nos permiten transformarlas hasta llegar a alguno de los casos que acabamos de revisar.
Para cerrar
Cuando decidí escribir sobre logaritmos, a petición de Andrés, no me imaginé la interesante y larga aventura que sería. Hay mucho qué decir sobre el tema, una parte ya la compartí aquí y otra parte la dejaremos para entradas futuras.
Queda pendiente escribir sobre funciones exponenciales, que se diferencían de las funciones cuadráticas, en la velocidad a la que aumenta su valor (son más rápidas en el infinito) y sobre funciones logarítmicas, que se diferencían de las funciones racionales en la velocidad a la que aumenta su valor (son mucho más lentas en el infinito)
También me gustaría escribir sobre la Regla de Cálculo, un «artilugio» que usaban nuestros antepasados (tan cercanos como los estudiantes de la década de los 70’s del siglo pasado) a falta de calculadoras electrónicas. La base del funcionamiento de una Regla de Cálculo está en los logaritmos, por lo que será interesante descubrir cómo funciona. Ya habrá tiempo para eso.
Como siempre, gracias a todos por leer y por ayudarme a compartir el mensaje. Espero sus sugerencias de temas para escribir.
¡Hasta el siguiente miércoles!
Rebeca
PD1: Aún no he logrado insertar en esta sección un botón que permita seguir el blog… lamento la molestia que implica ir a la página principal para hacerlo.
PD2: Quiero agradecer a estas páginas en las que me apoyo constantemente para redactar el blog: pixabay y webresizer

[…] La belleza no necesita ser útil para ser bella. Esta identidad sí que tiene formas de ser útil. La más directa es permitir obtener el valor del logaritmo de cualquier número negativo, el cuál será imaginario. Ver más sobre logaritmos aquí, aquí y aquí. […]
Me gustaMe gusta
[…] (ver más sobre logaritmos y exponentes aquí, aquí y aquí) […]
Me gustaMe gusta