Ya hemos revisado las desigualdades lineales en la entrada 35 (ver aquí) y las desigualdades cuadráticas en la entrada 37 (ver aquí). Quedaban pendientes algunas desigualdades dobles, las relacionadas con los valores absolutos y las racionales, que revisaremos en esta entrada, la 39. Normalmente escribo las entradas referentes al mismo tema de forma consecutiva, pero la situación con las desigualdades resultó ser… desigual, dado que se atravesaron oportunidades intermedias de escribir sobre otros temas importantes y fue necesario saltar un poco con este tema.
A propósito del tema, en ocasiones encontrar una imagen gratuita para encabezar la entrada semanal parece más complicado que escribirla. Buscaré aprender a dibujar para crear aquello que no encuentre. Mientras tanto, aprovecho los interesantes resultados que las búsquedas «infructuosas» me dan. Por ejemplo, la imagen de hoy no sólo está descentrada (desigualmente distanciada de cada lado) sino que se refiere a un camino desigual y tiene relación con lo que revisaremos, porque estaremos comparando la resolución de ecuaciones (camino conocido, más parejo) con la resolución de desigualdades o inecuaciones (camino menos conocido, disparejo, desigual), para que quede más claro qué parte de lo que se aplica en un proceso de solución sirve para el otro y qué parte no. Eso nos ayudará a evitar cometer errores.
La cantidad de aspectos que deben tomarse en cuenta en las desigualdades condicionales, o inecuaciones, es grande. Trataré de abarcar la mayoría a lo largo de distintos ejercicios, aunque no presente todas las combinaciones posibles, para evitar que esta entrada quede demasiado larga. Con ese mismo objetivo, retomaré algunos conceptos de las dos entradas pasadas sin volver a explicarlos aquí, dado que pueden ser consultados allá en caso de duda.
El cero y los signos, protagonistas en las inecuaciones
Como se habrán dado cuenta al leer las entradas anteriores, resolver una inecuación tiene algunas similitudes con resolver una ecuación y eso facilita el aprender a hacerlo. El gran cuidado que debemos tener es en aquello que es diferente en ambos procesos de solución.
Vimos en la entrada correspondiente que, cuando la inecuación es lineal, el cuidado principal que debemos tener es al dividir y multiplicar, pues, si lo hacemos por un número negativo, es necesario invertir el sentido de la inecuación. Por otro lado, en las inecuaciones cuadráticas, como los resultados no son valores, sino intervalos de valores, entonces debemos tener cuidado con los signos que produce cada intervalo de valores dentro de la expresión, para elegir como respuesta sólo aquellos intervalos que producen el signo que se requiere. Pueden ver ejemplos de ambos casos en las respectivas entradas.
El cero es muy importante al resolver inecuaciones porque no tiene signo (ver más sobre el cero aquí) y, por tanto, funciona como un «parteaguas» que separa lo negativo de lo positivo. Es por eso que todas las inecuaciones no lineales deben transformarse dejando todas las incógnitas y constantes de un lado y el cero del otro lado, para que así el análisis sea sólo de signos y no de valores, lo cual lo simplifica mucho. Ya vimos en su momento cómo hacerlo con las cuadráticas, ahora lo veremos con otro tipo de inecuaciones.
Inecuaciones dobles cuya solución se separa en dos partes
Había quedado pendiente ver este tema, así que es momento de atenderlo:
Cuando se tiene una desigualdad doble como ésta,
-8 < x + 3 < 5
Se resuelve restando 3 en los tres miembros de la desigualdad:
-8 -3 < x < 5 – 3
-11 < x < 2
El conjunto solución es uno sólo y cumple las dos condiciones al mismo tiempo
( -11, 2 )
Cualquier número entre -11 y 2 (no incluidos, por ser desigualdad estricta), al sustituirlo en la expresión original, dará un número que esté entre -8 y 5.
Nota: en la primera entrada que escribí sobre ecuaciones (ver aquí) mencioné la importancia de evitar decir frases como «se pasa restando» al resolver una ecuación, dado que eso pierde sentido al resolver inecuaciones dobles, cono ésta, y confunde a los alumnos.
Cuando, en cambio, se tiene una desigualdad doble como ésta:
-8 > x+3 > 5
Como -8 no puede ser mayor que 5, entonces no se pueden cumplir ambas condiciones al mismo tiempo. Si la situación que se quiere resolver permite que se cumpla una condición o la otra (veremos más adelante un caso), entonces se puede separar en dos la inecuación:
-8 > x + 3
-11 > x
x + 3 > 5
x > 2
El conjunto solución, que cumple sólo una condición a la vez, está dado por:
(-∞, -11 ) ∪ (2, ∞ )
Inecuaciones con valor absoluto
Primero es necesario comprender el concepto del valor absoluto de un número: es el valor de dicho número, sin tomar en cuenta el signo. Se representa con dos rayas verticales:
|9| = 9
|-9|= 9
Como todo en las inecuaciones tiene qué ver con los signos, las inecuaciones relacionadas con valor absoluto deben tratarse con cuidado. Es importante entender que los valores absolutos siempre serán positivos, por lo que una expresión como ésta no tiene sentido:
|x|< – 9
No hay forma de que un número positivo sea menor que -9
En cambio esta otra desigualdad se cumple para cualquier valor de x:
|x|> – 9
Dado que un número positivo siempre será mayor que uno negativo.
Para entender el tipo de resultados que obtendremos, veamos estos casos.
Caso 1, el valor absoluto de la incógnita es menor a un número positivo:
|x|< 9
Para que un número, en valor absoluto, sea menor que nueve, puede estar entre 0 y 9, pero también puede estar entre -9 y 0, ya que al obtener su valor absoluto se vuelve positivo. Por tanto, se puede reescribir así:
-9 < x < 9 Conjunto solución (-9,9)
Caso 2, el valor absoluto de la incógnita es mayor a un número positivo:
|x|> 9
Para que un número, en valor absoluto, sea mayor que 9, puede estar entre 9 e infinito o entre menos infinito y 9, ya que al obtener su valor absoluto se vuelve positivo. Por tanto, se puede reescribir así:
-9 > x > 9
Como no pueden cumplirse ambas condiciones al mismo tiempo, se separan en dos
x < -9 , x > 9 Conjunto solución (-∞, -9 ) ∪ (9, ∞ )
Inecuación lineal con la incógnita dentro del valor absoluto
Veamos este ejemplo:
|2x + 1|<7
Como el 7 es positivo, la expresión sí tiene sentido, y, para resolverla, se reescribe como:
-7 < 2x + 1 < 7
Se resta 1 en todos los miembros de la inecuación:
-8 < 2x < 6
Y se dividen entre 2:
-4 < x < 3
El conjunto solución está dado por ( -4, 3)
Inecuación lineal con la incógnita dentro y fuera del valor absoluto
Resolver una inecuación así es un poco más delicado, porque el conjunto solución debe revisarse para que cumpla con la condición de que el miembro de la inecuación que no está dentro del valor absoluto sea mayor que cero. Veamos cómo:
| 2x+1 | < x + 3
Restricción para las soluciones de esta inecuación: x + 3 > 0 o sea x > -3
Reescribimos la inecuación de forma similar a la anterior (cuidar que el signo negativo afecte a todo el lado izquierdo):
– ( x + 3 ) < 2x+1 < x+3
-x -3 < 2x + 1 < x + 3
Se requiere separar en dos inecuaciones:
-x -3 < 2x +1
-4 < 3x
-4/3 < x
2x + 1 < x + 3
x < 4
Ahora se determina el conjunto solución, cuidando que se cumplan las tres condiciones al mismo tiempo:
x > -3, x > -4/3, x < 4
El conjunto solución es, por tanto ( -4/3, 4 )
Ojo, en este caso no afectó la restricción, pero debe tomarse en cuenta siempre.
Ecuaciones e inecuaciones con expresiones racionales
Para que quede más claro que una ecuación y una inecuación con expresiones racionales se resuelven de formas distintas, iremos comparando ambos casos con distintos tipos de expresiones algebraicas.
Incógnita lineal en numerador y denominador
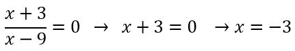
Para entenderlo mejor, primero veamos la solución de una ecuación racional sencilla
Una ecuación racional como ésta se resolvería simplemente igualando el numerador a cero y revisando que en ese valor de la incógnita el denominador no sea igual a cero (para evitar la indeterminación 0/0). Esto es, el denominador no forma parte del proceso de solución de una ecuación racional de este tipo más allá de comprobar que la respuesta sea válida. El signo que tome el denominador en el valor de la respuesta no afecta, pues al dividir cero entre cualquier número la respuesta es cero.

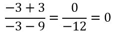
Comprobamos:

La solución no indetermina la fracción, por lo tanto es correcta.
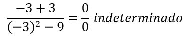
Sólo habría problemas si el denominador también fuera cero, como en este caso, en el que la ecuación no tiene solución:

Dado que falla la comprobación:

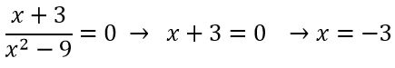
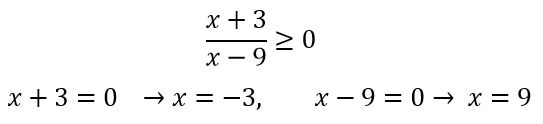
En una inecuación racional con la misma estructura, en cambio, el proceso de solución comienza de forma similar, pero después deben evaluarse los intervalos encontrados para determinar cuál es el intervalo solución. Pero aquí sí entra en juego el denominador. También debemos igualarlo a cero para determinar los intervalos en los que su signo cambia.

Recordemos que cuando x = -3, el numerador es igual a cero, por lo que para valores menores que -3 tiene un signo y para valores mayores que -3 tiene otro. Lo mismo pasa con el denominador cuando x = 9.
x = -3 y x = 9 son los valores críticos de esta inecuación.
Por lo tanto, debemos analizar los signos en los tres intervalos que se forman, tomando un valor de la incógnita que esté dentro de ellos y el signo que dicho valor provoca en cada factor de la expresión, de esta forma:
(-∞, -3) para x = -4 los signos son (-) / (-) = (+)
(-3, 9) para x = 0 los signos son (+) / (-) = (-)
(9, ∞) para x = 10 los signos son (+) / (+) = (+)
El conjunto solución está dado por aquellos intervalos que hacen mayor o igual a cero la expresión, esto es:
(-∞, -3] ∪ (9, ∞)
Observen que en el -3 va un corchete, porque x= -3 hace la expresión igual a cero. En cambio, en el 9 va un paréntesis porque en x = 9 la expresión se indefine (queda una división entre cero) y, por tanto, no debe considerarse.
Incógnita lineal sólo en el denominador
Esta ecuación no tiene solución:

Dado que no hay forma de que 1 sea igual a 0.
En cambio esta inecuación sí tiene solución, aunque el único valor para determinar los signos se obtenga del denominador:

Los intervalos para analizar los signos son:
(-∞, 9) para x = 8, (+) / (-) = (-)
(9, ∞) para x = 10, (+) / (+) = (+)
El conjunto solución está dado por aquellos intervalos que hacen menor o igual a cero la expresión, esto es:
(-∞, 9)
El 9 lleva paréntesis porque x = 9 indefine la expresión.
Nota: si la incógnita estuviera sólo en el numerador no se trataría de una inecuación racional.
Incógnita elevada al cuadrado
Los valores que provocan indeterminaciones deben “sacarse” de los intervalos de respuesta, de esta forma:

Los intervalos para analizar los signos son:
(-∞, -3) para x = -4, (-) / (+) = (-)
( -3, 3 ) para x = 0, (+) / (-) = (-)
( 3, ∞ ) para x = 4, (+)/(+) = (+)
El conjunto solución está dado por:
(-∞, -3) ∪ ( -3, 3 )
Con x = -3 se indetermina la expresión (queda 0/0), por lo que no se debe incluir. Es común que en el valor que indetermina la expresión no haya cambio de signo, como ocurrió en este caso.
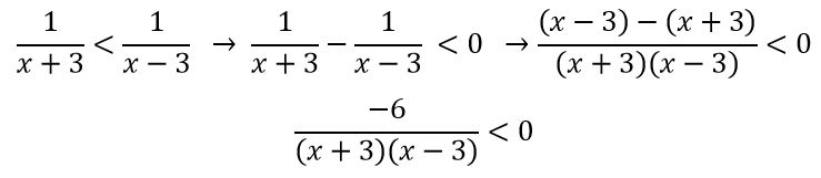
Expresiones racionales a ambos lados
Una manera de resolver una ecuación racional como ésta es multiplicar a ambos lados del igual por ambos denominadores, de forma que lleguemos a una ecuación lineal. En este caso, se multiplican ambos lados de la ecuación por (x+3)(x-3) y se simplifica, quedando:

Lo que acabamos de hacer NO aplica para inecuaciones por una sencilla razón: ¿recuerdan que cuando multiplicamos o dividimos por un número negativo debemos invertir el sentido de la desigualdad? Como no sabemos qué signo tiene una expresión que incluya a la incógnita, no está permitido multiplicar por expresiones que contengan a la incógnita en las desigualdades, porque no sabríamos qué hacer con el sentido de la desigualdad, si dejarla como está o invertirla.
Lo que sí es válido es sumar o restar a ambos lados de la desigualdad hasta que sólo quede un cero de un lado. Entonces eso haremos, de la siguiente forma:

Los valores críticos son x = -3 y x = 3, por lo que los intervalos a probar son:
(-∞, -3) para x = -4, (-) / (-)(-) = (-)
( -3, 3 ) para x = 0, (-) / (+)(-) = (+)
( 3, ∞ ) para x = 4, (-) / (+)(+) = (-)
El conjunto solución está dado por:
(-∞, -3) ∪ ( 3, ∞ )
No llevan corchete porque son valores críticos que salieron del denominador. Además, la desigualdad es estricta.
Al resolver inecuaciones más complejas, se deben tener en cuenta los cuidados básicos que acabo de exponer.
Para cerrar
Para escribir esta entrada asumí ciertos conocimientos previos sobre expresiones racionales. En una entrada futura los retomaré para explicarlos con mayor profundidad.
Las desigualdades son muy útiles para encontrar soluciones a situaciones donde no se requiere un valor único como solución, sino un conjunto de valores. Por ejemplo, en una fábrica de chocolates se puede querer maximizar la utilidad decidiendo cuántos productos fabricar el siguiente mes. Un valor exacto puede resultar menos útil que un intervalo de valores.
Muchas gracias a todos los lectores por leer y compartir con aquellos a quienes consideren que les puede resultar útil lo que publico. Pueden escribirme para sugerirme abordar algún tema o profundizar en algo sobre lo que ya haya escrito. También para compartir con los demás lectores sus ideas sobre las desigualdades cuadráticas. Y pueden suscribirse para recibir un correo cada miércoles que subo una nueva entrada.
Hasta la próxima semana.
Rebeca
PD1: Aún no he logrado insertar en esta sección un botón que permita seguir el blog… lamento la molestia que implica ir a la página principal para hacerlo.
PD2: Quiero agradecer a estas páginas en las que me apoyo constantemente para redactar el blog: pixabay webresizer
Hice muchas imágenes en Word
