Publico esta entrada un 14 de marzo, conocido en el mundo de las matemáticas como el día de pi (π), por escribirse la fecha en algunos países como 3.14. Esta coincidencia me llevó a elegir escribir sobre pi y otros números especiales.
Un día, hace un par de años, cuando estudiaba la maestría en enseñanza de las matemáticas, estaba navegando por páginas de Internet buscando alguna información y me encontré con algo sólo ligeramente relacionado con el tema, pero que me llamó muchísimo la atención: la Identidad de Euler, cuya imagen encabeza esta entrada.
Supongo que la conocí durante la universidad, pero ya no la recordaba. Lo primero que supe de ella en este reencuentro fue que se considera la fórmula más bella que existe, al grado de haber camisetas impresas, tazas, cuadros y esculturas dedicadas a ella. En el CUCEI de la Universidad de Guadalajara hay una.
Incluso existe una novela, escrita por Yoko Owaga, cuyo nombre en español es “La fórmula preferida del profesor”, que tiene varias referencias a curiosidades matemáticas. La más importante de ellas es, justamente, la Identidad de Euler.
¿Por qué se considera tan bella la Identidad de Euler?
Porque incluye a los cinco números más importantes de las matemáticas: e, π, i, 1, 0 y a las tres operaciones principales: suma, multiplicación y potenciación, como podrán observar:

¿Saben? Estos cinco números son importantes por diferentes razones, algunas simples y otras complejas. De esas razones y las conexiones entre estos números tratará esta entrada. Conocer esas conexiones, aunque no se comprendan por completo algunos conceptos, permite una forma de ver las matemáticas mucho más natural y agradable, donde todo cobra sentido. Aquello que tiene sentido se aprende más fácilmente.
Conozcamos más sobre estos interesantes números.
0
Aunque los mayas, egipcios, griegos y babilonios usaron símbolos indicativos del valor cero antes que los indios, no los aprovecharon en todo su potencial, debido a algunas características de sus sistemas numéricos.
Fueron los indios, hacia el siglo VII dC, los que empezaron a usar el cero en la forma como lo usamos actualmente. Fue llevado a Europa por Fibonacci (sí, el de la serie). Cero viene del árabe sifr y significa vacío.
El cero permitió desarrollar el sistema de numeración posicional que ahora usamos y que le dio un enorme impulso a las matemáticas. ¡Imaginen a los europeos haciendo cálculos con números romanos antes de la llegada del cero! Eso sólo los más hábiles podían hacerlo y tenía muchas limitaciones, tanto de velocidad como de lo que era factible calcular.
Al llegar el cero a las matemáticas, se necesitaron sólo 10 dígitos distintos para expresar todas las cantidades posibles, lo cual facilitó de forma importante el desarrollo de conceptos matemáticos más complejos, como el Cálculo Diferencial e Integral.
El cero posee unas características muy interesantes:
Puede ponerse a la izquierda de un número entero o a la derecha de un número decimal sin afectar su valor. Al ponerlo a la derecha de un número entero multiplica su valor por 10 y al ponerlo a la izquierda de un número decimal divide su valor entre 10.
¡No tiene signo! Todos los demás números tienen un signo, o positivo o negativo, pero el cero no. Es un «parteaguas» entre los números, está al centro de la recta numérica y sobre cada eje en el plano cartesiano.
Es el elemento neutro de la suma y la resta. Si a un número le sumo o le resto cero, el resultado será el número original. Sumar o restar cero tiene un efecto neutro sobre el otro número: 3 + 0 = 3, 3 – 0 = 3. Esto es importante para la solución de ecuaciones.
Es el resultado de restar un número a sí mismo: 3 – 3 = 0, o de sumar a un número su inverso aditivo: 3 + ( – 3) = 0. Esto también es importante para la solución de ecuaciones.
Es el elemento absorbente de la multiplicación. Si a un número lo multiplico por cero, el resultado será cero: 3 * 0 = 0. Puede decirse que el cero absorbe a cualquier otro número al multiplicarse por él. Adivinaron: esto también es importante para la solución de ecuaciones.
Y es un elemento de cuidado en la división. Veamos los casos:
0 / 9 = 0 porque 0 * 9 = 0 (toda división se comprueba multiplicando el cociente por el divisor: 15 / 5 = 3 porque 3 * 5 = 15)
9 / 0 está indefinido. No existe un número que, al multiplicarlo por cero, de 9.
0 / 0 esta indeterminado, ya que puedes realmente poner cualquier valor como respuesta y estaría correcta la comprobación: 0 / 0 pudiera ser 2 porque 2 * 0 = 0
En Cálculo Diferencial es importante distinguir estos tres casos de divisiones que involucran al cero, porque llevan a distintas interpretaciones en los límites.
Con respecto a las potencias que involucran ceros:
Cualquier base diferente de cero, elevada a la potencia cero, es igual a 1. Si recordamos que al dividir dos números iguales el resultado es uno y lo relacionamos con las leyes de los exponentes, podremos entenderlo mejor:


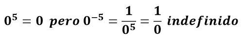
Cero elevado a cualquier potencia positiva es igual a cero. Si recordamos nuevamente las leyes de exponentes, una base con potencia negativa en el numerador se puede reescribir en el denominador con potencia positiva, por lo que cero elevado a una potencia negativa es una expresión indefinida:

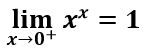
El caso especial de 0 elevado a la 0 causa controversia y nos recuerda que en matemáticas no todo es blanco y negro. Yo lo considero así: si cero a la cero proviene de la división de dos ceros, se trata de una indeterminación, como mencioné arriba. Si se obtiene el límite de x elevado a la x cuando x tiende a 0 entonces se llega al valor de 1, pero solo por la derecha, ya que por la izquierda la función no existe.
Tampoco hay un consenso sobre considerar al cero como número natural o no, dada su aparición tan reciente en las matemáticas.
Considero que el profesor ayuda más al alumno si lo expone, en la medida de lo posible, a todos los diferentes casos de aquello que está aprendiendo, por eso incluí éste último caso. No se encuentra mucho en la matemática escolar, pero es una de las opciones existentes de expresiones relacionadas con el cero.
Finalmente, la raíz cuadrada, cúbica, etc. de cero es cero:

1
El uno suele considerarse el primer número natural, a partir del cual se construyen todos los demás.
Es, además, el elemento neutro de la multiplicación y división. Si a un número lo multiplico o lo divido por uno, el resultado será el número original. Multiplicar o dividir por uno tiene un efecto neutro sobre otro número: 3 * 1 = 3, 3 / 1 = 3. Nota: es importante para la solución de ecuaciones.
También es el resultado de dividir un número entre sí mismo: 3 / 3 = 1 y el resultado de multiplicar un número por su inverso multiplicativo: 3 * (1/3) = 1. Sí, también esto es importante para la solución de ecuaciones.
Al elevar cualquier valor a la potencia 1 queda como estaba: 2¹ = 2 y al elevar 1 a cualquier potencia queda 1 nuevamente: 1² = 1.
El uno es un valor implícito en muchas expresiones algebraicas, como expliqué en la entrada sobre sentido de estructura, que pueden leer aquí.
En esa misma entrada mencioné que las literales pueden representar cantidades desconocidas (incógnitas), cantidades que varían (variables) o constantes especiales (pi, i, e, phi, etc.). Veamos las tres constantes que forman parte de la Identidad de Euler.
i
El valor de i, conocida como la unidad imaginaria, es la raíz cuadrada de -1, por lo tanto, no es un número real, sino imaginario, que puede formar parte de un número complejo:


Aprovecho para decir que es común que los alumnos digan: “no existen raíces negativas”, refiriéndose a que no pueden sacar una raíz cuadrada a un número negativo. La forma correcta y completa de decir eso es: “no existen, en los reales, raíces pares de números negativos”, ya que sí se pueden sacar raíces nones de números negativos.
Pero en los complejos sí que existen las raíces cuadradas de números negativos, sólo necesitamos a i para indicarlo. Euler fue el primero en usar i para representar a la raíz cuadrada de menos 1, en el siglo XVIII, aunque el concepto se usaba desde un par de siglos antes:
También se puede pensar que no existen los logaritmos naturales de los números negativos, dado que las calculadoras marcan error matemático. Si bien el logaritmo natural de cero no está definido, el logaritmo natural de -1 es π i, lo cual se puede obtener directamente de la identidad de Euler:

Los números complejos, como muchos otros elementos de las matemáticas, primero se descubrieron de forma puramente matemática y luego fueron relacionados con sus aplicaciones, como la electricidad y la geometría del universo en este caso.
e
e es el número de… adivinaron: Euler. Se empezó a usar este valor en el siglo XVII, por lo que es, también, relativamente nuevo en las matemáticas.
Es un número trascendente (no es raíz de ninguna ecuación algebraica con coeficientes enteros no todos nulos), irracional (no se obtiene de ninguna división), con un número infinito de decimales (creo que esto no requiere explicación).
Existen varias formas de calcularlo. Por cuestión de espacio presentaré sólo ésta, que es una de las más conocidas:
e tiene usos en diversas ramas de las matemáticas. Es la base de los logaritmos naturales y está relacionado con la forma de calcular el interés compuesto, por ejemplo.
e también es la base natural de la funciones exponenciales, que pueden describir, entre otras cosas, las propagaciones de las epidemias. Las función exponencial con base e tiene la particularidad de que, al derivarse e integrarse, no sufre modificación.

Si se va a trabajar matemáticamente con el valor de e, es mejor dejarlo indicado durante todos los cálculos y sólo tomar su valor aproximado, con tantas cifras decimales como se desee, al evaluar la expresión final. Así se logra una buena precisión en los cálculos.
pi (π)
Es el festejado de hoy. Al igual que e, es un número trascendente, irracional, con un número infinito de decimales, que no siguen ningún patrón:

Es la proporción entre la circunferencia de un círculo y su diámetro. Si medimos alrededor de una pizza y dividimos ese dato entre la medida de la línea que parte a la pizza en dos partes iguales, obtendremos un valor muy cercano a pi. Es igual para cualquier tamaño de círculo. Desde hace más de 4000 años se ha tratado de calcular su valor a través de distintos métodos y aproximaciones.
Se requiere en matemáticas, física e ingeniería. En todo tipo de cálculos que tengan relación con figuras circulares o que incluyen curvas, como áreas, volúmenes, velocidades, movimiento de los planetas, etc. Por extraño que parezca, a pi también se le puede encontrar en el cálculo de probabilidades. No, no está relacionado con el lanzamiento de monedas, que a fin de cuentas son redondas, sino con probabilidades del tipo: la probabilidad de que dos enteros sean primos entre sí al escogerlos al azar es 6/π².
En geometría, si un círculo tiene diámetro 1, su circunferencia es igual a π unidades lineales. Si un círculo tiene radio 1, su área es igual a π unidades cuadradas.
Al igual que con e, si se va a trabajar matemáticamente con el valor de pi, es mejor dejarlo indicado durante todos los cálculos y sólo tomar su valor aproximado, con tantas cifras decimales como se desee, al evaluar la expresión final. Así se logra una buena precisión en los cálculos.
Antes de terminar
El cero y el uno en la solución de ecuaciones
Mencioné repetidamente la importancia del cero y el uno en la solución de ecuaciones. Dedicaré una entrada posterior a ese tema, sólo adelanto aquí que, al resolver una ecuación como esta: x + 2 = 5, lo correcto es restar 2 a ambos lados del igual:
x + 2 – 2 = 5 – 2, x + 0 = 3, x = 3
Lo sé, es común que se explique que se «pasa el 2 restando», pero esa forma de verlo puede provocar problemas posteriores, al resolver desigualdades, por ejemplo.
De la misma manera, para resolver la ecuación 2x = 6, lo correcto es dividir entre 2 ambos lados del igual:
2x/2 = 6/2, 1x = 3, x = 3
Lo sé, también es común que se explique que se «pasa el 2 dividiendo», pero esa forma de entenderlo puede provocar errores de signos y de otro tipo.
No es necesario que se escriban todos los pasos todas las veces que se resuelven las ecuaciones. Lo que es indispensable es que se entienda correctamente lo que se está haciendo, para poder usarlo en circunstancias más complejas.
El origen de la identidad de Euler
La identidad de Euler se origina en la Fórmula de Euler:

Al sustituir: ![]()
Queda: 
Y al evaluar las funciones trigonométricas obtenemos:
Que se reescribe como:
El pretexto del día pi me llevó a escribir sobre los números más importantes de las matemáticas. Conocer sus características, de dónde provienen, cómo trabajar con ellos, para qué se usan y cómo se conectan facilitan el encontrarles sentido y, con ello, también facilitan nuestro quehacer matemático.
Finalmente
Gracias por leer y por compartir con aquellos a quienes consideren que les pueda ser útil lo que aquí publico. Pueden escribirme sus preguntas o comentarios en el apartado de «Comentarios», debajo del título de la entrada, o a través de la sección «Contacto». Contestaré.
Rebeca
PD1: Aún no he logrado insertar en esta sección un botón que permita seguir el blog… lamento la molestia que implica ir a la página principal para hacerlo.
PD2: Quiero agradecer a estas dos páginas en las que me apoyo constantemente para redactar el blog: https://pixabay.com/ http://webresizer.com/
Los datos históricos los obtuve principalmente de wikipedia. Realicé algunas imágenes en Word, Excel y Geogebra.

[…] El 14 de marzo se celebra el día de pi desde 1988, primero localmente en EEUU y después a nivel nacional e internacional. (Ver más sobre pi aquí). […]
Me gustaMe gusta
[…] Pueden ver lo que escribí sobre pi el 14 de marzo de 2018, cuando aún no cambiaba su estatus a día de las matemáticas y solo era el día de pi, aquí. […]
Me gustaMe gusta
[…] me pasó cuando encontré la equivalencia de Euler (ver más aquí y aquí) mientras investigaba cómo resolver una tarea durante mi maestría en enseñanza de las […]
Me gustaMe gusta
[…] bien ya había escrito hace casi cinco años sobre la «identidad de Euler» (ver aquí), para esta ocasión me puse a averiguar un poco más, empezando con cómo debería ser llamada […]
Me gustaMe gusta
[…] Esta es la entrada 217 de este blog. Se publica un par de días después del día de pi ( 3.14 o marzo 14). En el primer año del blog ese día cayó en miércoles y la entrada la dediqué a varios números especiales (ver aquí) […]
Me gustaMe gusta
[…] entrada previa a los que se consideran los cinco números más relevantes de las matemáticas (ver aquí). Hoy retomaré lo visto en ese momento y lo complementaré con más información […]
Me gustaMe gusta
[…] 2, porque el lado izquierdo estaría indeterminado (ver más sobre la división de cero entre cero aquí). Pero, al no darnos cuenta de esa situación antes de multiplicar ambos lados de la ecuación por […]
Me gustaMe gusta
[…] Si todas las divisiones que le presentaron se podían calcular, ¿cómo va a comprender de golpe que la división de un número diferente de cero entre cero está indefinida y la de cero entre cero está indeterminada (ver más aquí)? […]
Me gustaMe gusta
[…] Por sus características matemáticas (neutros aditivo y multiplicativo los primeros dos, ver más aquí sobre ellos) pueden dar lugar a ideas falsas de que un procedimiento es correcto cuando no lo […]
Me gustaMe gusta
[…] potencia darán un resultado positivo siempre. Sin embargo, la identidad de Euler (ver más aquí) nos permite darnos cuenta de cómo podemos calcular los logaritmos de los números negativos, que […]
Me gustaMe gusta
[…] que se adoptara el sistema numérico decimal, con su característico cero (ver más sobre el cero aquí) y su facilidad para escribir todo tipo de cantidades (ver más sobre el Sistema Numérico Decimal […]
Me gustaMe gusta
[…] tanto, al multiplicar por 1 el valor permanece (ver más sobre las características del número 1 aquí). Ese 1 está formado por la equivalencia que más nos convenga usar. En este caso, la de 1 cm = […]
Me gustaMe gusta
[…] Pueden ver más sobre la identidad de Euler aquí […]
Me gustaMe gusta
[…] Al entender la división como una resta reiterada también podemos entender por qué no es posible dividir entre cero: dividir 6 entre 0 implicaría determinar cuántas veces debo restarle 0 a 6 hasta llegar a 0. No hay forma, por más que le reste ceros voy a seguir teniendo seis (ver más sobre el cero y sus propiedades aquí). […]
Me gustaMe gusta
[…] Le sumamos un cero intermedio formado por la resta de dos cienes: 0 = – 100 + 100, lo cual no cambia el resultado (ver más sobre el cero como elemento neutro de la suma aquí). […]
Me gustaMe gusta
[…] otro número tiene: no tiene signo, no es posible dividir entre cero, etc. (ver más sobre el cero aquí). El infinito no es número, pero es un concepto indispensable para determinar y entender algunos […]
Me gustaMe gusta
[…] A propósito de la historia de las matemáticas, Denis Guedj escribió El teorema del loro, novela para aprender matemáticas, que incluye intriga, suspenso, un posible asesinato, libros de matemáticas, historia de los conceptos matemáticos, filosofía y, por su puesto, un loro. Me enteré de la existencia de ese libro cuando, en una conversación en la maestría, les pregunté a mis compañeros si conocían novelas de temática matemática y me lo recomendaron. Otra novela que también disfruté mucho al leer fue La Fórmula Preferida del Profesor, de Yoko Ogawa, que descubrí buscando algo para una tarea, también de la maestría. La mencionada fórmula es considerada por los matemáticos como la más bella que existe, por incluir los cinco números más importantes de las matemáticas y las tres operaciones básicas. Dediqué una de las primeras entradas de este blog a esa fórmula (ver aquí). […]
Me gustaMe gusta
[…] cero es muy importante al resolver inecuaciones porque no tiene signo (ver más sobre el cero aquí) y, por tanto, funciona como un “parteaguas” que separa lo negativo de lo positivo. Es […]
Me gustaMe gusta
[…] NOTA: siempre que sea posible, conviene tomar el cero como valor para probar, dado que es el elemento neutro de la suma y el absorbente de la multiplicación, lo cual facilita los cálculos (ver más sobre el cero aquí) […]
Me gustaMe gusta
[…] Recordemos que el cero no tiene signo. Pueden ver otras características del cero aquí. […]
Me gustaMe gusta
[…] El perímetro y el área del resto de las figuras básicas se obtienen con base en operaciones hechas con sus medidas y, en ocasiones, algún número entero. El círculo también es peculiar en ese sentido, pues involucra, además de la medida de su radio, un número muy especial, pi (ver lo que escribí sobre pi en una entrada anterior aquí). […]
Me gustaMe gusta
[…] una entrada sobre algunos números especiales, que incluye el uno y el cero (ver aquí). En ella mencioné que, el que una expresión involucre un cero, suele tener implicaciones […]
Me gustaMe gusta
[…] Un dato curioso es que, por más seguido que se componga una tasa del 100%, el monto final no podrá ser mayor a 2.7183 veces el capital inicial. ¿Reconocen el número? Es el número de Euler, e, pueden ver más sobre él aquí. […]
Me gustaMe gusta
[…] Pueden ver más sobre números especiales aquí […]
Me gustaMe gusta
[…] qué ver con los elementos neutros, como expliqué en la entrada sobre los números especiales (ver aquí) y como mostraré en la siguiente […]
Me gustaMe gusta
[…] Otras características especiales del cero y el uno pueden verse aquí. […]
Me gustaMe gusta
[…] entrada pasada, que pueden ver aquí, la dediqué a las cinco constantes más importantes de las matemáticas, incluidas en la identidad […]
Me gustaMe gusta