Exponentes: ¿qué son y qué cuidados debemos tener al trabajar con ellos?

Así como la multiplicación es una suma abreviada, la potenciación es una multiplicación abreviada. En ella, la base (b en la imagen principal) nos indica el número que se multiplica repetidamente y el exponente (n en la imagen principal) nos indica cuántas veces se multiplica dicho número. Así de simple.

Claro que después de decidir expresar 2 x 2 x 2 como , los matemáticos le vieron a esa notación una serie de posibilidades muy interesantes para modelar otras situaciones. Es por esa variedad de escenarios por lo que es una buena idea tener muy presentes los cuidados necesarios al trabajar con expresiones que incluyen exponentes. Con ello, podemos evitar cometer errores dentro de ejercicios matemáticos de todo tipo.

dandelion-337198_1280_opt.jpgComo en toda la matemática, conviene que los profesores de cualquier grado escolar tengan una idea acerca de los temas futuros en los que se va a usar lo que están enseñando actualmente a sus alumnos. Así podrán, tanto sembrar buenas semillas en ellos, como evitar los atajos que puedan provocarles problemas más adelante. Por ello, esta entrada parte de lo aritmético y llega a lo algebraico.


¿Cómo usar los exponentes para expresar un número en factores primos?

Recordemos que cualquier número puede expresarse como un producto de factores y que un número primo es aquél que solo puede dividirse de forma exacta entre sí mismo y la unidad (ver más sobre números primos aquí ).

Por lo tanto, 36 se puede expresar como 4 x 9, como 2 x 18, como 12 x 3 e incluso como 1 x 36. También se puede expresar como 2 x 2 x 3 x 3, que es su descomposición en factores primos, la cual es única para cada número, en cuanto a los factores que contiene. Estos pudieran ordenarse distinto y la descomposición factorial no cambiaría (recuerden que el orden de los factores no altera el producto).

Usando exponentes, la descomposición en factores primos de 36 se puede escribir: 2² ⋅3² (es conveniente escribir los números en orden ascendente).

Veamos cómo hacerlo con un número más grande, 1800. Vamos dividiendo entre los factores primos que sean divisores, hasta que quede la unidad. Posteriormente se reescribe el 1800 como la multiplicación de todos sus factores primos y después se abrevia la expresión usando exponentes según el número de veces que se repite un factor:

Ej1.JPG

¿Qué pasa con las expresiones exponenciales que involucran un uno?

El uno puede estar en la base o en el exponente.

Cuando el uno está en la base, la expresión es igual a uno siempre, pues al multiplicar uno cualquier número de veces, volvemos a obtener un uno:

Ej12.JPG

Cuando el uno está en el exponente, la expresión es igual a la base siempre:

Ej13.JPG

Por otro lado, si un número no tiene un exponente visible, puede considerarse que tiene un exponente uno implícito.

Los elementos implícitos no se ven, pero tienen un valor definido según la estructura a la que pertenezcan (ver más aquí).

Esto significa que, para hacer operaciones con una expresión exponencial, debemos recordar que los exponentes implícitos equivalen a 1:

En  175 = 5²7, el exponente del 5 es 2, y el exponente del 7 es 1.

¿Qué pasa con las expresiones exponenciales que involucran un cero?

Escribí una entrada sobre algunos números especiales, que incluye el uno y el cero (ver aquí). En ella mencioné que, el que una expresión involucre un cero, suele tener implicaciones interesantes. Retomaré aquí las relacionadas con los exponentes:

Una base diferente de cero, elevada a la potencia cero, es igual a uno

Ej14.JPG

(Ver la explicación un poco más adelante)

Cuando la base es cero y se eleva a cualquier potencia mayor a cero, se obtiene cero como resultado:

Ej16.JPG

El exponente debe ser mayor a cero para que se considere que el cero está en el numerador de la expresión. Como veremos más adelante, un exponente negativo equivale a un exponente positivo en la otra posición de la fracción, por lo que:

Ej17.JPG

El caso especial de cero elevado a la cero causa un poco de controversia. Yo lo considero así: si cero a la cero proviene de la división de dos ceros, se trata de una indeterminación. Si, en cambio, se obtiene el límite de x elevado a la x cuando x tiende a 0 entonces se llega al valor de 1, pero solo por la derecha, ya que por la izquierda la función no existe.

Lim x a la x.JPG

¿Qué pasa con los exponentes al multiplicar?

Si multiplicamos 27 x 243 obtenemos 6 561, ¿cómo se vería esa multiplicación expresando multiplicando, multiplicador y producto en su descomposición en factores primos?

Ej7.JPG

Observen lo que pasa con las bases y los exponentes. Se verbaliza (expresa en palabras) de esta manera:

Cuando dos bases iguales, elevadas a un exponente, se multiplican, la base permanece y los exponentes se suman

En lenguaje algebraico:

Ej3.JPG

También funciona cuando los números están formados por factores primos combinados. Veamos un ejemplo:

Ej2.JPG

Los exponentes del 2 y del 3 se suman por separado.

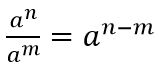
¿Qué pasa con los exponentes al dividir?

Si dividimos 6 561 entre 27 obtenemos 243, ¿cómo se vería la operación expresando dividendo, divisor y cociente en su descomposición en factores primos?

Ej8.JPG

Observen lo que pasa con las bases y los exponentes. Se verbaliza de esta manera:

Cuando dos bases iguales, elevadas a un exponente, se dividen, la base permanece y los exponentes se restan

En lenguaje algebraico:

Ej5.JPG

Ojo, esa igualdad es válida para: a≠0

Al igual que la anterior, también funciona cuando los números están formados por factores primos combinados. Veamos un ejemplo:

Ej4

Los exponentes del 2 y del 3 se restan por separado.

El comprender esta ley nos permite entender por qué una base diferente de cero, elevada a la potencia cero, es igual a uno:

Ej15.JPG

Al dividir un número entre sí mismo, obtenemos un uno por resultado. Al hacer la división usando leyes de exponentes, debemos llegar al mismo resultado.

¿Qué pasa con los exponentes al sumar y restar?

Si, por el contrario, sumamos 12 + 72, obtenemos 84, ¿cómo se vería la operación expresando los sumandos y la suma en su descomposición en factores primos?

Ej6.JPG

No se ve un patrón claro de cómo los factores primos de los sumandos forman parte de la suma, porque no existe tal. El 7 de la respuesta no aparece en ninguno de los sumandos, lo cual nos muestra que no se puede calcular una suma (ni una resta) de dos números directamente con su descomposición en factores primos (se requiere de un proceso más elaborado, como factorizar el 2²⋅3, pero ese procedimiento queda fuera del alcance de esta entrada).

Los resultados de multiplicaciones, divisiones, potencias y raíces sí se pueden obtener directamente con la descomposición en factores primos (nunca aparecen factores en el resultado que no estén en la operación original), como se ve en el resto de la entrada y como se verá en la siguiente.

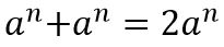
En álgebra, cuando se suman bases iguales elevadas a exponentes diferentes, la expresión no se modifica:

EJ9

Cuando se suman bases iguales elevadas a exponentes iguales, la expresión puede reducirse:

Ej10

Los dos sumandos de la expresión anterior son términos semejantes, por eso pueden reducirse.

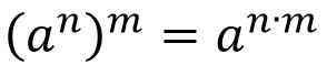
¿Qué pasa con los exponentes al elevar una base con su exponente a otro exponente?

Si elevamos 27 al cuadrado, obtenemos 729. Veamos la operación expresada con exponentes:

Ej11.JPG

Lo que pasa con los exponentes se verbaliza así:

Cuando una base elevada a un exponente se eleva a otro exponente, la base permanece y los exponentes se multiplican

En lenguaje algebraico:

Ej24.JPG

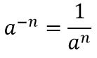
¿Qué pasa con los exponentes cuando queremos mover de posición, dentro de una fracción, a la base correspondiente?

Veamos lo que ocurre al dividir estas expresiones con exponentes usando la propiedad del cociente y simplificando la fracción:

Ej18

Podemos concluir que:

Ej19

Que, en lenguaje algebraico, se escribe:

Ej20

synchronize-150123_1280_optEsta propiedad de los exponentes nos permite cambiar la forma de escribir una expresión matemática según sea más adecuado para lo que se hará con ella. Es importante que evitemos decir: «vamos a mover la a de arriba hacia abajo» o viceversa (ver por qué aquí). Es mejor decir que la a se puede mover del numerador al denominador (o viceversa) cambiando el signo del exponente. En la siguiente entrada veremos más ejemplos y los cuidados que debemos tener al usar esta propiedad.

Algunos cuidados al diseñar los ejercicios con los que practicarán los alumnos

Existen algunos ejercicios peculiares que pueden resolverse mediante un proceso erróneo y llegar al resultado correcto. Conviene incluirlos en las actividades de los alumnos de forma intencionada, para observar qué tan claros tienen los conceptos. Debe evitarse incluirlos de forma tal que no podamos saber el procedimiento que se siguió para resolverlos, dado que eso nos impediría saber si el alumno aprendió correctamente el concepto/proceso.

En el caso de los exponentes, es un error común que los alumnos consideren que, cuando las bases se multiplican, los exponentes también se multiplican. Si les pedimos que contesten este ejercicio y nos dan esta respuesta:

Ej21.JPG

No hay forma de saber si obtuvo el exponente 4 sumando o multiplicando los otros exponentes.

Ocurre algo similar con este ejercicio:

Ej22.JPG

No hay forma de saber si obtuvo el exponente 2 del resultado restando o dividiendo los otros exponentes.

Los casos anteriores sólo ocurren cuando están involucrada esa combinación específica de exponentes. Para otras expresiones existen otros cuidados. Revisaremos el resto de los casos relacionados con exponentes y sus cuidados en la próxima entrada.

Un pequeño caso aplicado

caramel-1952997_1280_opt.jpgEn un salón hay 20 niños. La maestra les pide que, para el día siguiente, lleven unos dulces para compartir con niños de otros salones en el recreo. El primer alumno de la lista dice que el puede llevar dos dulces. El segundo alumno dice que él va a llevar el doble de lo que llevará el primero. El tercero dice que él va a llevar el doble de lo que llevará el segundo. Los niños se emocionan, ninguno quiere quedarse atrás y cada siguiente alumno dice que llevará el doble de lo que llevará el anterior.

¿Cuántos dulces se ofreció a llevar el alumno número 20 de la lista?

El primer alumno se ofreció a llevar 2 dulces

El segundo, 2² = 4 dulces

El tercero, 2³ = 8 dulces

.

.

.

El veinteavo se ofreció a llevar:

Ej23.JPG

Por eso se le llama crecimiento exponencial, al crecimiento que empieza lentamente y continúa aceleradamente.

¿Qué hubiera pasado si el segundo alumno se ofrece a llevar 2 dulces más que el primero (en vez de lo doble), y así sucesivamente?

Los primeros dos alumnos hubieran llevado la misma cantidad de cualquiera de las dos formas, pero de esta segunda forma al alumno número 20 le hubiera tocado llevar 40 dulces, dado que se trata de un crecimiento lineal.

Diferencia interesante, ¿verdad?

Existe una historia parecida sobre la invención del ajedrez y los granos de trigo que pidió el inventor a cambio del juego ¿la conocen?

Para cerrar

child-345523_1280_opt.jpgConforme se avanza en los conceptos matemáticos, se van conociendo formas abreviadas de hacer lo que ya sabíamos, que nos permiten ser más eficientes al trabajar. Los alumnos preguntan a veces que por qué no se les enseña solamente la forma abreviada. Podemos explicarles que sería como enseñarlos a correr cuando aún no saben caminar. Todo aprendizaje lleva una secuencia que conviene seguir, aunque pueda seguirse de formas más o menos eficientes (ver más sobre aprendizaje eficiente aquí).

Muchas gracias a todos por leer la entrada y compartirla con aquellos a quienes consideren que les puede resultar útil lo que escribo.

Por favor, escríbanme si tienen alguna duda y/o si quieren sugerirme temas que deseen que aborde en futuras entradas.

Hasta la próxima semana.

Rebeca

PD1: Aún no he logrado insertar en esta sección un botón que permita seguir el blog… lamento la molestia que implica ir a la página principal para hacerlo.

PD2: Quiero agradecer a estas dos páginas en las que me apoyo constantemente para redactar el blog: https://pixabay.com/   http://webresizer.com/

Para esta entrada hice muchas imágenes matemáticas en Word.

8 comentarios en “Exponentes: ¿qué son y qué cuidados debemos tener al trabajar con ellos?

Deja un comentario

Este sitio utiliza Akismet para reducir el spam. Conoce cómo se procesan los datos de tus comentarios.