En la entrada pasada (ver aquí) revisamos los principios del trabajo con exponentes, enfocándonos en las expresiones más simples. Quedaron pendientes las expresiones con exponentes fraccionarios y con signos, así como las expresiones compuestas, en las que un exponente afecta a más de una base a la vez, o se combinan bases y exponentes de distintas formas.
Conociendo los cuidados que se deben tener según la estructura de la expresión (ver más sobre sentido de estructura aquí), será sencillo trabajar con exponentes dentro de actividades matemáticas de todo tipo, como álgebra y cálculo, para aprovechar el hecho de que son una forma abreviada de expresar operaciones.
¿Qué significa que un exponente sea una fracción?
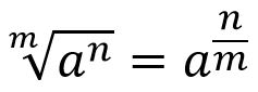
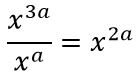
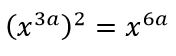
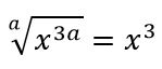
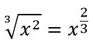
En la entrada sobre números irracionales (ver aquí) observamos que potencias y raíces son operaciones inversas. Vimos en la entrada pasada que, cuando una base elevada a un exponente se eleva a otro exponente, la base permanece y los exponentes se multiplican. Por lo tanto, al obtener la raíz de una base elevada a un exponente, la base permanece y el exponente de la base se dividirá entre el índice de la raíz. Si la división no es exacta, el exponente resultante será una fracción. Vamos un ejemplo:

Cuando se obtiene una raíz de un índice dado de una base elevada a un exponente, la base permanece y el exponente se divide entre el índice de la raíz
En lenguaje algebraico:

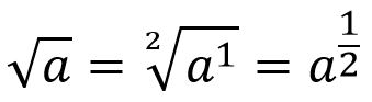
¿Cuánto vale el índice de la raíz cuando no está explícito?
En la entrada sobre sentido de estructura revisamos los valores de los elementos implícitos más comunes. En el caso de las raíces, el índice implícito vale 2. No tendría sentido que fuera 1, ya que cualquier número dividido entre 1 conserva su valor. El exponente implícito sí es 1. Por tanto:

¿Para qué existen dos formas de escribir lo mismo?
Según lo que vayamos a hacer con la expresión posteriormente, es la forma como la necesitamos escribir. El radical (la «casita» de la raíz) es un agrupador que deja muy claro, visualmente, cuáles son los elementos a los que se les aplicará la raíz (veremos ejemplos de esto más adelante). Sin embargo, para hacer algunas operaciones con una expresión con un radical, como multiplicarla por otra expresión, necesitamos que el exponente quede escrito como un número, para poderlo sumar o multiplicar a otro exponente. Veamos un ejemplo que reúne elementos implícitos y cambio de forma de escribir la expresión:

Con la práctica, podríamos omitir algunos pasos, siempre teniendo claro lo que estamos haciendo, para evitar errores.
Algunos cuidados al diseñar los ejercicios con los que practicarán los alumnos
Como vimos en la entrada pasada, existen algunos ejercicios peculiares que pueden resolverse mediante un proceso erróneo y llegar al resultado correcto. Conviene incluirlos en las actividades de los alumnos de forma intencionada, para observar qué tan claros tienen los conceptos. Debe evitarse incluirlos de forma tal que no podamos saber el procedimiento que se siguió para resolverlos, dado que eso nos impediría saber si el alumno aprendió correctamente el concepto/proceso (a no ser que podamos adivinarlo a través de una bola de cristal).
Veamos los relacionados con potencias y raíces:

No hay forma de saber si se obtuvo el exponente 4 multiplicando los exponentes o elevando el 2 al cuadrado.

No hay forma de saber si el 2 de la respuesta se obtuvo al dividir 4 entre 2 o al sacarle raíz cuadrada al 4. Incluso pudo haber restado 4 menos 2.
Exponentes aplicados sobre dos o más bases a la vez
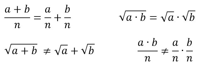
Cuando un exponente de cualquier tipo está aplicado sobre un producto o un cociente de dos bases, se puede reescribir la expresión de manera que el exponente aplique a cada una. Coincido con algunos autores que le llaman a esto distribuir, por ejemplo, la potencia sobre el producto. El riesgo de llamarle así es que el alumno se confunda con la ley distributiva del producto/cociente sobre la suma/resta y cometa errores. Pondré aquí juntos los ejemplos con los contra-ejemplos más comunes, para que se analicen las estructuras sobre las que aplica cada propiedad.
Se puede distribuir potencia sobre producto, pero no potencia sobre suma:

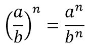
Distribución de potencia sobre cociente:

Se puede distribuir un radical sobre un producto, pero no sobre una suma:

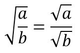
Distribución de raíz sobre cociente:

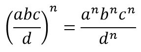
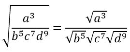
La potencia se distribuye sobre todas las bases a las que afecta según los agrupadores:


Otros ejemplos y contra-ejemplos sobre distribución
Como sugerí en la entrada sobre aprendizaje eficiente (ver aquí), es muy conveniente que los alumnos trabajen con actividades contrastadas, que los lleven a analizar las estructuras de los ejercicios para poder decidir cómo trabajar con ellos. Esto puede hacerse poniendo pares de ejercicios para que los comparen y, con base en sus diferencias y similitudes, los contesten. Presentaré unos ejemplos básicos aquí, que pueden adaptarse sustituyendo las variables:
Distribución correcta e incorrecta de productos y potencias:

Distribución correcta e incorrecta de cocientes y raíces:

Las actividades contrastadas están basadas en la Teoría de la Variación de Ference Marton.
Exponentes aplicados a coeficientes
Cuando la expresión elevada a un exponente tiene un coeficiente, el exponente aplica a ambos:

Exponentes enteros aplicados a expresiones con signo
Recordemos que, según las leyes de los signos, al multiplicar dos signos iguales, el resultado es positivo y, al multiplicar dos signos distintos, el resultado es negativo. Extrapolando esas leyes, así como la distribución de potencias, podemos observar lo siguiente:
Al elevar un número con signo positivo a cualquier exponente entero, el resultado será positivo.
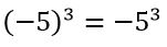
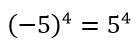
Al elevar un número con signo negativo a cualquier exponente par, el resultado será positivo.
Al elevar un número con signo negativo a cualquier exponente non, el resultado será negativo.
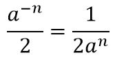
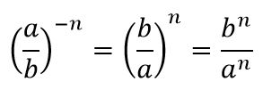
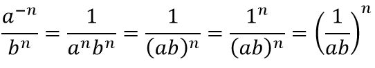
Algunos cuidados al trabajar con exponentes negativos
En la entrada pasada revisamos por qué las bases pueden cambiar de lugar dentro de una fracción, del numerador al denominador y viceversa, si se cambia el signo de su exponente. Esa propiedad es muy útil para reescribir expresiones de forma que sean más adecuadas para el trabajo matemático que haremos con ellas, pero también es muy delicada. No se trata simplemente de invertir una expresión, o de voltearla de cabeza. Se debe analizar con cuidado la estructura para decidir qué debe moverse y cómo.
En general, conviene que las respuestas finales a un problema o ejercicio se expresen con todos los exponentes positivos. Sin embargo, durante el planteamiento o el proceso de solución, puede ser necesario trabajar temporalmente con exponentes negativos.
Recordemos la propiedad básica:

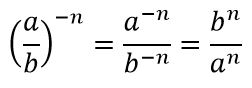
Cada elemento individual que se mueva de lugar va acompañado de su exponente, que cambia de signo al llegar al nuevo lugar.
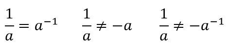
Veamos algunos ejemplos y contra-ejemplos, con algunas aclaraciones:

Pudiera pensarse que el 1 implícito del denominador en la primera expresión se mueve hacia el numerador, pero lo que realmente ocurre es que la a que se mueve de numerador a denominador tenía un coeficiente 1 implícito, que se queda en el numerador. La segunda expresión no es una igualdad, porque el 2 se mueve de denominador a numerador sin cambiar de exponente. Lo que es adecuado hacer es:

En el siguiente caso, la expresión sí se «voltea» completa, porque el exponente negativo está afuera de toda la expresión:

Puede entenderse también de esta manera:

Son dos procesos distintos que llevan al mismo resultado.
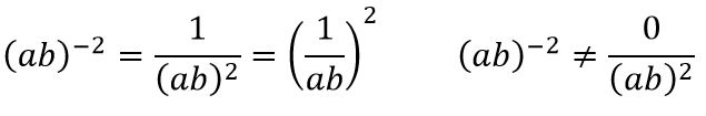
En el siguiente caso la expresión puede escribirse de muy diversas formas. Si recordamos que 1 elevado a cualquier exponente es 1, podemos considerar que el 1 del numerador puede reescribirse como elevado a cualquier exponente:

Debemos cuidar que lo que cambie de sign o sea sólo el exponente y no el coeficiente o ambos:

Recordemos cuidar que sólo se mueva aquello a lo que le cambiemos el signo del exponente:

Cuando se mueve una expresión del numerador al denominador, el numerador no queda vacío, ni queda un cero. Realmente queda un 1 que es coeficiente implícito de cualquier expresión.

Dos literales con exponentes con signo contrario no se pueden simplificar:

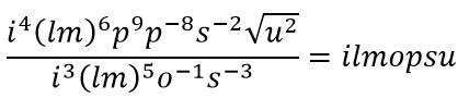
Un pequeño acertijo para practicar leyes de exponentes
Simplifica la expresión que se da y reacomoda las literales de la expresión simplificada para formar una palabra:
Para resolver este acertijo, es necesario aplicar todas las propiedades que revisamos en esta entrada y la anterior. Dejemos la respuesta en suspenso por un momento.
¿Los exponentes pueden ser literales?
Sí, y les aplican las mismas reglas que hemos visto en estas dos entradas:
Producto

Cociente

Potencia

Radical

Para tomar en cuenta: ¿Transformación algebraica u operación?
Cuando reescribimos una expresión algebraica de esta manera:

Se trata de una transformación algebraica. Lo único que cambia es la forma de escribir.
Cuando extraemos una raíz de cualquier índice a un número:

Se trata de una operación matemática.
Para cerrar
Como vimos, las propiedades de los exponentes, tan necesarias para diversos procedimientos matemáticos, deben aplicarse cuidando que sólo sea sobre las estructuras adecuadas. En matemáticas es muy fácil sobre-generalizar (aplicar reglas fuera de contexto, o sobre estructuras no adecuadas) si no se tiene el cuidado necesario para analizar la estructura de la expresión con la que trabajamos y compararla con la estructura correspondiente a la regla que queremos aplicar para ver que sí corresponda una con la otra. Así como cada tipo de tuerca necesita un tipo de llave para apretarla, cada propiedad algebraica aplica solamente sobre una determinada estructura algebraica.
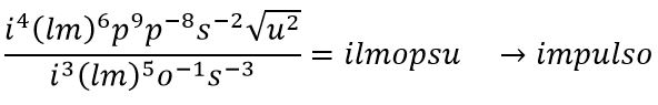
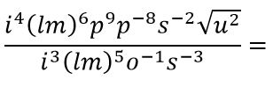
También vimos que, con un poco de imaginación, se puede incluir un poco de intriga y emoción en los ejercicios con los que practicamos matemáticas. Aquí está el primer paso de solución al acertijo:

Yo les he pedido a los alumnos que hagan sus propios acertijos. Resulta muy divertido ver las ideas de palabras y frases que se les ocurren mientras ponen en juego sus conocimientos sobre exponentes.
Como siempre, muchas gracias a todos por leer la entrada y compartirla con aquellos a quienes consideren que les puede resultar útil lo que escribo.
Por favor, escríbanme si tienen alguna duda y/o si quieren sugerirme temas que deseen que aborde en futuras entradas.
Hasta la próxima semana.
Rebeca
PD1: Aún no he logrado insertar en esta sección un botón que permita seguir el blog… lamento la molestia que implica ir a la página principal para hacerlo.
PD2: Quiero agradecer a estas dos páginas en las que me apoyo constantemente para redactar el blog: https://pixabay.com/ http://webresizer.com/
Para esta entrada hice muchas imágenes matemáticas en Word.
Cierto, falta ordenar las letras para descubrir la palabra. Aquí la tienen:

Muchas gracias por acompañarme en esta aventura de impulsar a las personas a través de las matemáticas


[…] un par de ejemplos de procedimientos algebraicos erróneos, con exponentes (ver más aquí y aquí) que permitan identificar por qué es mejor evitar el 2 al hacer comprobaciones […]
Me gustaMe gusta
[…] Por otro lado, si se van a multiplicar y/o dividir varios números, se pueden redondear expresándolos como 1 dígito multiplicado por una potencia de 10, con lo cual el cálculo se vuelve muy sencillo, dadas las propiedades de nuestro sistema numérico decimal (ver más aquí) y las leyes de los exponentes (ver más aquí y aquí). […]
Me gustaMe gusta
[…] verlo de esa manera, y recordar las leyes de los exponentes (ver más aquí y aquí), podemos entender […]
Me gustaMe gusta
[…] Por las leyes de los exponentes (ver más aquí y aquí), podemos darnos cuenta […]
Me gustaMe gusta
[…] cubo de otro número (4), por ser 2 elevado a la sexta potencia (ver más sobre exponentes aquí y aquí). Por tanto es el número más pequeño, mayor a 1, con el que pueden tenerse medidas lineales, […]
Me gustaMe gusta
[…] Cada columna corresponde a una operación y cada tres filas se repiten las combinaciones de letras. El poder clasificar y comparar estas expresiones ayuda a comprender mejor las leyes de los exponentes y los resultados de las operaciones algebraicas. Pueden ver lo que escribí anteriormente sobre exponentes y leyes de exponentes aquí y aquí. […]
Me gustaMe gusta
[…] jerarquía matemática y por leyes de exponentes (ver más aquí), primero se realizan las restas, luego los cuadrados, después la suma y al final se calcula la […]
Me gustaMe gusta